LPG泵LWB-150是中型加气站的理想选择
在LPG加气设备领域,流量需求与运行稳定性的平衡一直是行业难题。直到 LPG泵LWB-150的出现。这款专为中大型加气站设计的高性能液
化石油气输送泵,以其稳定的额定流量和突破性的耐用设计,正在重新定义高效加气运营的标准。
许多日加气量在8-15吨的加气站面临一个共同困境:
– 小型泵无法满足高峰时段需求,导致车辆排队
– 大型泵则功率过剩,造成能源浪费和设备折旧加速
LWB-150精准定位于这一市场空白,其优化的流量曲线与智能功率匹配系统,使设备在高负载区间均保持高效运行,完美匹配中型加气站的波动需求。实际运营数据显示,配备LWB-150的加气站高峰时段车辆平均等待时间大幅度减少,客户满意度显著提升。
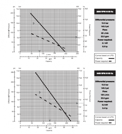
产品性能:
LPG泵LWB-150采用连续高强度使用设计,经济高效,能满足多种LPG加气需求。高压差时,无论地上液化气罐,还是地下液化气罐,可以为双枪加气机大流量加气。
- 三重增效设计
– 变截面流道技术:减少30%流体阻力,提升介质输送效率
– 自适应密封系统:根据压力自动调节密封紧度,减少内泄损失
– **低温升电机**:专利散热结构确保连续运行温度稳定,避免热衰减
2.实测性能表现
在标准工况测试中,LWB-150展现出卓越性能指标。LWB-150采用模块化耐久架构,关键部件寿命大幅提升。LWB-150采用标准化接口设计,与主流加气机控制系统完全兼容。它不仅是一款LPG泵,更是中型加气站提升运营竞争力的战略选择。它用精准的流量定位、突破性的效率表现和卓越的可靠性,为加气站运营商提供了从“满足需求”到“创造优势”的升级路径。
应用场合:
LWB-150构建了完整的主动安全架构, 该泵已通过国家产品质量监督检验中心认证,并取得多项国际安全体系认可。LWB-150特别适合应用于加气机加气、装罐、液化气蒸汽回收、批量输送等场合。
选择LWB-150,就是选择:
– 高峰时段从容应对的加气能力
– 显著降低的综合运营成本
– 连续稳定运行的安心保障
– 面向未来的设备投资价值
立即咨询LWB-150技术详情与配置方案,为您的中型加气站注入高效强劲的核心动力!
